日常生活中,大量事件是有固定频率的。
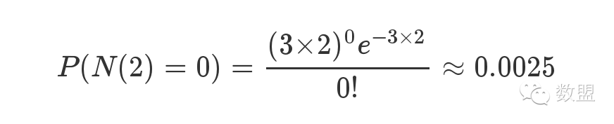
某医院平均每小时出生3个婴儿
某公司平均每10分钟接到1个电话
某超市平均每天销售4包xx牌奶粉
某网站平均每分钟有2次访问
它们的特点就是,我们可以预估这些事件的总数,但是没法知道具体的发生时间。已知平均每小时出生3个婴儿,请问下一个小时,会出生几个?
有可能一下子出生6个,也有可能一个都不出生。这是我们没法知道的。
泊松分布就是描述某段时间内,事件具体的发生概率。
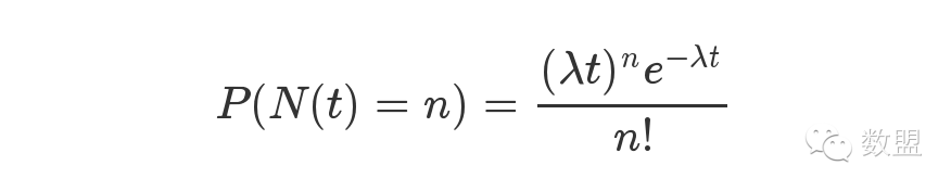
上面就是泊松分布的公式。等号的左边,P 表示概率,N表示某种函数关系,t 表示时间,n 表示数量,1小时内出生3个婴儿的概率,就表示为 P(N(1) = 3) 。等号的右边,λ 表示事件的频率。
接下来两个小时,一个婴儿都不出生的概率是0.25%,基本不可能发生。
接下来一个小时,至少出生两个婴儿的概率是80%。
泊松分布的图形大概是下面的样子。
可以看到,在频率附近,事件的发生概率最高,然后向两边对称下降,即变得越大和越小都不太可能。每小时出生3个婴儿,这是最可能的结果,出生得越多或越少,就越不可能。
泊松分布使用范围
Poisson分布主要用于描述在单位时间(空间)中稀有事件的发生数. 即需满足以下四个条件:
1、给定区域内的特定事件产生的次数,可以是根据时间,长度,面积来定义;
2、各段相等区域内的特定事件产生的概率是一样的;
3、各区域内,事件发生的概率是相互独立的;
4、当给定区域变得非常小时,两次以上事件发生的概率趋向于0。
例如:
1、放射性物质在单位时间内的放射次数;
2、在单位容积充分摇匀的水中的细菌数;
3、野外单位空间中的某种昆虫数等。
泊松分布的期望和方差
由泊松分布知E[N(t) − N(t0)] = D[N(t) − N(t0)] = λ(t − t0)
特别的,令t_0=0.由于假设N(0)=0,故可推知泊松过程的均值函数和方差函数分别为E[N(t)] = λt,D[N(t)] = λt,
泊松过程的强度lambda (常数)等于单位长时间间隔内出现的质点数目的期望值。即对泊松分布有:E(X) = D(X) = λ
泊松分布的特征
1、泊松分布是一种描述和分析稀有事件的概率分布。要观察到这类事件,样本含量n必须很大。
2、λ是泊松分布所依赖的唯一参数。λ值愈小,分布愈偏倚,随着λ的增大,分布趋于对称。
3、当λ = 20时,分布泊松接近于正态分布;当λ = 50时,可以认为泊松分布呈正态分布。在实际工作中,当
指数分布是事件的时间间隔的概率。下面这些都属于指数分布。
婴儿出生的时间间隔
来电的时间间隔
奶粉销售的时间间隔
网站访问的时间间隔
指数分布的公式可以从泊松分布推断出来。如果下一个婴儿间隔时间 t ,就等同于 t 之内没有任何婴儿出生。

